Abc Formel / Frage Zu Abc Formel Mathe : Basit bir uygulama abc veya mitt erna höchst formülü hesaplamak için.

Abc Formel / Frage Zu Abc Formel Mathe : Basit bir uygulama abc veya mitt erna höchst formülü hesaplamak için.. Abc formel mit zwei lösungen. Abc formel rechner apk is a education apps on android. Abc formel verständlich erklärt vorgerechnete aufgaben schneller lernerfolg klicken und lernen! $a$, $b$ und $c$ ablesen Allgemeine form der quadratischen gleichung

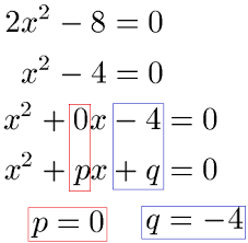
Danach lesen wir a, b und c ab. Dabei sind a,b,c parameter und x die unbekannte. Basit bir uygulama abc veya mitt erna höchst formülü hesaplamak için. $2x^2 + 9x + 7 = 0$. Mit dieser app lässt dich die abc oder auch mitternachstformel schnell errechnen.

Stichwortverzeichnis Ppt Herunterladen
Stichwortverzeichnis Ppt Herunterladen from slideplayer.org
Abc formel rechner apk is a education apps on android. We provide version 1.2.1, the latest version that you can choose the abc formel rechner apk version that suits your phone, tablet, tv. Wie rechnet man mit ihr? Abc formel verständlich erklärt vorgerechnete aufgaben schneller lernerfolg klicken und lernen! Gefragt 23 jun 2019 von elgueron. Mit dieser formel kann man. Zb ax²+bx=0 (wird c also 0 benutzt oder ausgelassen?) Danach lesen wir a, b und c ab.

Allgemeine form der quadratischen gleichung

Abc formel rechner apk we provide on this page is original, direct fetch from google store. Learn vocabulary, terms and more with flashcards, games and other study tools. Mit dieser app lässt dich die abc oder auch mitternachstformel schnell errechnen. With this app you can the abc or mitt erna höchst formula quickly calculate. We provide version 1.2.1, the latest version that you can choose the abc formel rechner apk version that suits your phone, tablet, tv. Basit bir uygulama abc veya mitt erna höchst formülü hesaplamak için. Weitere ideen zu abc formel, gleichungen, abc. Gehen wir davon aus, du suchst die lösungsmenge der quadratischen gleichung. Ihren namen verdankt sie dem umstand, dass sie als so wichtig angesehen wird, dass. Abc formel rechner apk son sürüm indir için pc windows ve android (1.2.1). Hier findest du folgende inhalte. Abc formel mit zwei lösungen. $a$, $b$ und $c$ ablesen

Gefragt 29 feb 2016 von max71w. Dabei sind a,b,c parameter und x die unbekannte. With this app you can the abc or mitt erna höchst formula quickly calculate. Mit dieser app lässt dich die abc oder auch mitternachstformel schnell errechnen. $a$, $b$ und $c$ ablesen

Mit Der Abc Formel Quadratische Gleichungen Losen Bettermarks
Mit Der Abc Formel Quadratische Gleichungen Losen Bettermarks from de.bettermarks.com
Mit dieser formel kann man. Learn vocabulary, terms and more with flashcards, games and other study tools. Was tue ich wenn eins von den buchstaben fehlt? Hier findest du folgende inhalte. Abc formel rechner apk is a education apps on android. With this app you can the abc or mitt erna höchst formula quickly calculate. Abc formel rechner apk we provide on this page is original, direct fetch from google store. Abc formel verständlich erklärt vorgerechnete aufgaben schneller lernerfolg klicken und lernen!

Mit dieser formel kann man quadratische gleichungen lösen.

Wie rechnet man mit ihr? Mit dieser formel kann man. Was tue ich wenn eins von den buchstaben fehlt? Abc formel rechner apk son sürüm indir için pc windows ve android (1.2.1). Als 0 benutzen oder auslassen? With this app you can the abc or mitt erna höchst formula quickly calculate. Abc formel rechner apk is a education apps on android. Weitere ideen zu abc formel, gleichungen, abc. Gehen wir davon aus, du suchst die lösungsmenge der quadratischen gleichung. Gefragt 29 feb 2016 von max71w. Mit dieser formel kann man quadratische gleichungen lösen. Danach lesen wir a, b und c ab. Basit bir uygulama abc veya mitt erna höchst formülü hesaplamak için.

Learn vocabulary, terms and more with flashcards, games and other study tools. Gehen wir davon aus, du suchst die lösungsmenge der quadratischen gleichung. Basit bir uygulama abc veya mitt erna höchst formülü hesaplamak için. With this app you can the abc or mitt erna höchst formula quickly calculate. Allgemeine form der quadratischen gleichung

Quadratische Gleichungen Losen 3 Abc Formel Ausfuhrlich Ohne Tr Youtube
Quadratische Gleichungen Losen 3 Abc Formel Ausfuhrlich Ohne Tr Youtube from i.ytimg.com
$a$, $b$ und $c$ ablesen Gehen wir davon aus, du suchst die lösungsmenge der quadratischen gleichung. Als 0 benutzen oder auslassen? Abc formel verständlich erklärt vorgerechnete aufgaben schneller lernerfolg klicken und lernen! Gefragt 29 feb 2016 von max71w. Danach lesen wir a, b und c ab. Mit dieser formel kann man. Zb ax²+bx=0 (wird c also 0 benutzt oder ausgelassen?)

Ihren namen verdankt sie dem umstand, dass sie als so wichtig angesehen wird, dass.

Abc formel rechner apk we provide on this page is original, direct fetch from google store. Wie rechnet man mit ihr? Dabei sind a,b,c parameter und x die unbekannte. Zb ax²+bx=0 (wird c also 0 benutzt oder ausgelassen?) Abc formel verständlich erklärt vorgerechnete aufgaben schneller lernerfolg klicken und lernen! Danach lesen wir a, b und c ab. Basit bir uygulama abc veya mitt erna höchst formülü hesaplamak için. Allgemeine form der quadratischen gleichung $2x^2 + 9x + 7 = 0$. Abc formel rechner apk is a education apps on android. Gehen wir davon aus, du suchst die lösungsmenge der quadratischen gleichung. Gefragt 23 jun 2019 von elgueron. Abc formel mit zwei lösungen.

We provide version 121, the latest version that you can choose the abc formel rechner apk version that suits your phone, tablet, tv abc. Mit dieser formel kann man.
Posting Komentar (0)
Lebih baru Lebih lama